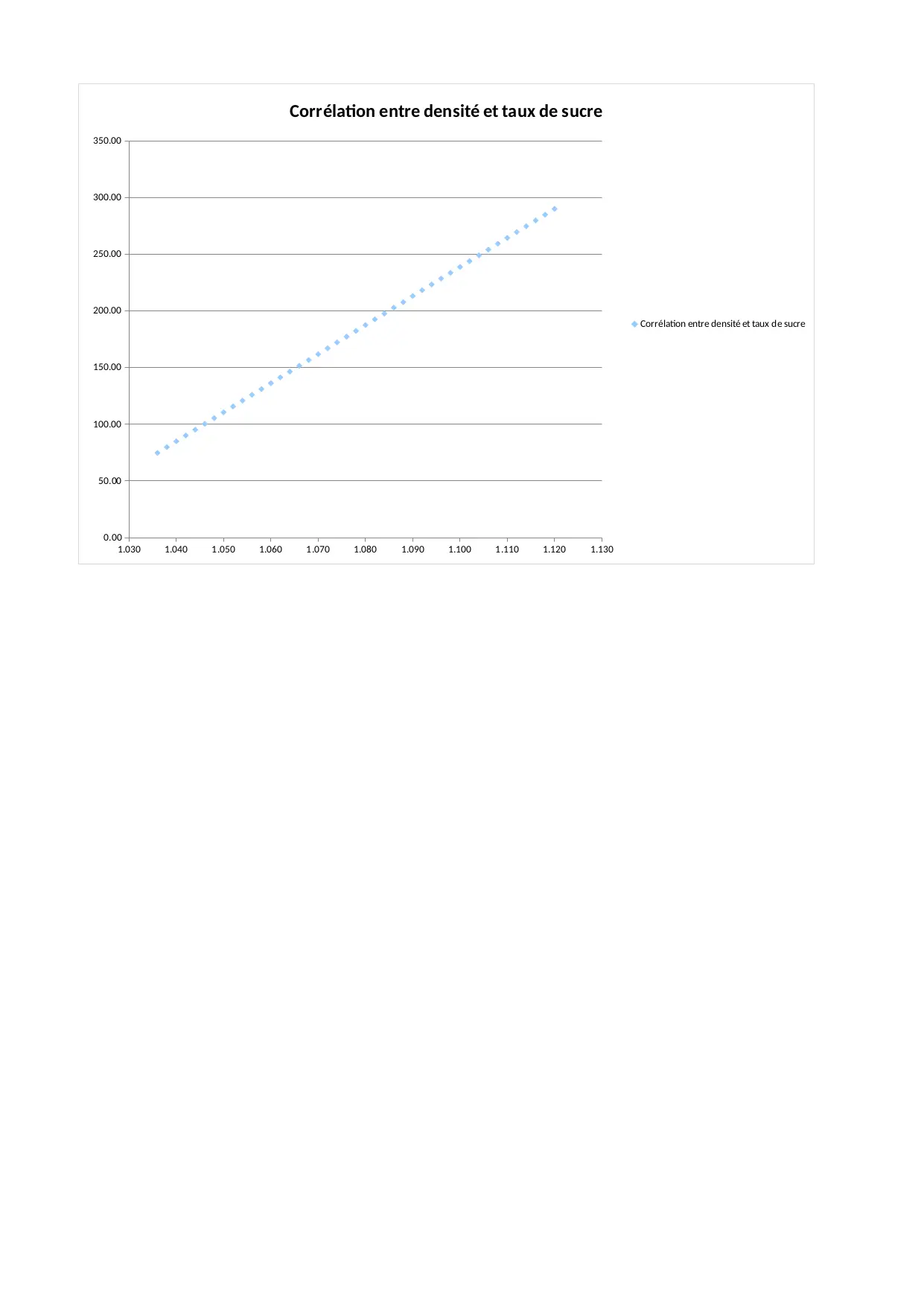
Table densité (XLSX)
- Identifiant du fichier:
- 00043412
- Nom original:
- Table densité.xlsx
- Type de fichier:
- XLSX - Microsoft Excel (OpenXML)
- Taille:
- 17.02 KB
- Envoyé le:
- 29/03/2017 à 15:53
- Vues:
- 984 vues
Aperçu texte
Sur le même sujet..
ebullition duree evaporation final initial densite volume apres
Partager le fichier
Lien court vers la page de téléchargement du fichier:
Code HTML - Recopiez ce code pour partager votre fichier XLS sur un site Web:
Code BB-Code - Utilisez ce code pour partager votre tableau sur un forum Web compatible avec les tags BB:
Lien permanent vers la page de téléchargement du fichier:



