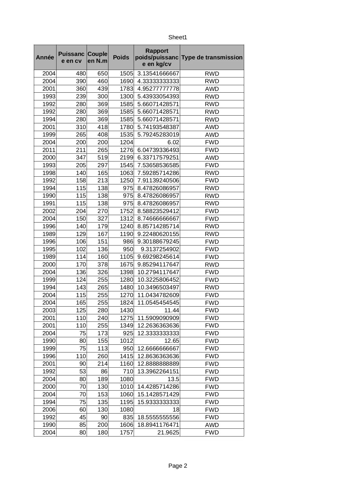
Car (XLSX)
- Identifiant du fichier:
- 00043793
- Nom original:
- Car.xlsx
- Type de fichier:
- XLSX - Microsoft Excel (OpenXML)
- Taille:
- 9.27 KB
- Envoyé le:
- 30/08/2017 à 15:07
- Vues:
- 941 vues
Aperçu texte
Sur le même sujet..
injection maserati coupe honda mercedes mazda renault nissan diesel peugeot prelude biturbo essence civic turbo
Partager le fichier
Lien court vers la page de téléchargement du fichier:
Code HTML - Recopiez ce code pour partager votre fichier XLS sur un site Web:
Code BB-Code - Utilisez ce code pour partager votre tableau sur un forum Web compatible avec les tags BB:
Lien permanent vers la page de téléchargement du fichier:

